[Article] - Étude structurale et quelques propriétés magnétiques des matériaux de phase de Laves Hf1-xMoxFe2
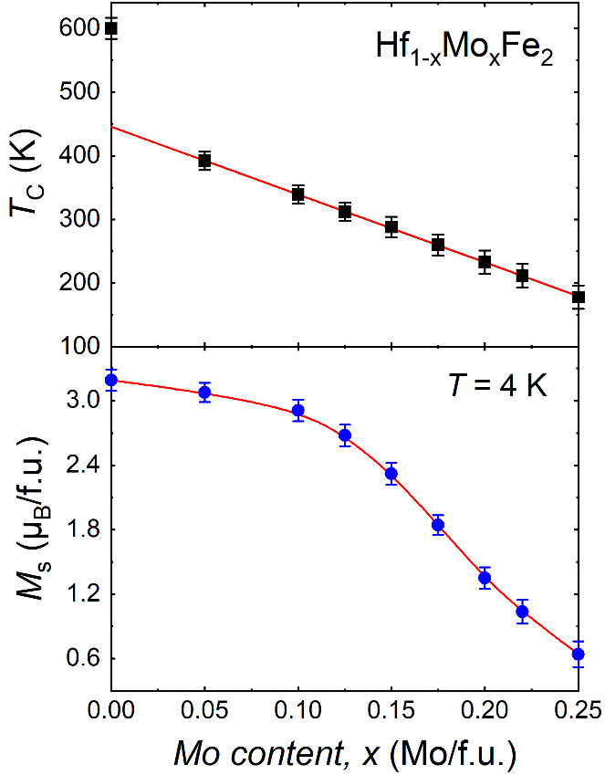
Les effets de la substitution du molybdène sur les propriétés structurales et magnétiques des matériaux de phase de Laves Hf1- xMoxFe2 (0 ≤ x ≤ 0,25) à base de métal de transition, ont été étudiés par diffraction des rayons X sur poudre, microscopie électronique à balayage, spectroscopie de rayons X à dispersion d’énergie et mesures d’aimantation. Tous les composés intermétalliques cristallisent dans la structure hexagonale de type MgZn2 (groupe d’espace P63 /mmc) et présentent un état fondamental ferromagnétique. Pour les alliages de composition nominale x = 0,1-0,25, l’analyse microstructurale et les données de diffraction révèlent la présence de deux phases de Laves de compositions chimiques différentes, partageant la même symétrie P63 /mmc mais ayant des paramètres de maille légèrement différents. Ce phénomène découle de la ségrégation partielle de l’hafnium et du molybdène et d’une microstructure particulière. La substitution du Mo à l’Hf dans les composés Hf1- xMoxFe2 induit une contraction anisotrope de la maille hexagonale : la contraction initiale dans le plan de base ab est nettement plus rapide que celle observée selon l’axe c. Il est aussi démontré que les propriétés magnétiques intrinsèques telles que la température de Curie TC et l’aimantation spontanée MS sont extrêmement sensibles à la teneur en Mo : une forte diminution de TC et une réduction significative de MS sont observées. La température d’ordre ferromagnétique diminue drastiquement de 600 K pour x = 0 à 178 K pour x = 0,25.
Auteurs
Ibrahima Sarr, Olivier Isnard, Anne Vernière, Léopold Diop
Références de l’article
I. Sarr, O. Isnard, A. Vernière, L. V. B. Diop, Journal of Alloys and Compounds 1037 (2025) 182354.
DOI
https://doi.org/10.1016/j.jallcom.2025.182354
 
